در دنیای ساختوساز ایران، قیمت آهنآلات و بهویژه میلگرد، نبض تپنده پروژههاست. نوسانات ارزی، تغییرات جهانی قیمت شمش و تقاضای فصلی باعث شده تا سازندگان و پیمانکاران همواره به دنبال فرصتهایی برای فروش میلگرد زیر قیمت بازار باشند. اما آیا خرید زیر قیمت همیشه به معنای سود است؟ یا پشت این قیمتهای وسوسهانگیز، چالشهایی نهفته است؟
در این مقاله از وبلاگ آسن استیل، قصد داریم به شکاف قیمتها در بازار آهن بپردازیم و به شما بگوییم چگونه میتوانید بدون قربانی کردن کیفیت، هزینههای پروژه خود را به شکل چشمگیری کاهش دهید.

پیش از آنکه به سراغ “خرید زیر قیمت” برویم، باید بدانیم قیمت پایه چگونه تعیین میشود. قیمت میلگرد به صورت مستقیم تحت تأثیر فاکتورهای زیر است:
بسیاری از مشتریان تفاوت قیمت میلگرد در بنگاههای تهران یا اصفهان را با قیمت درب کارخانه مقایسه میکنند. خرید مستقیم از کارخانه معمولاً ارزانتر است، اما محدودیتهایی مانند ظرفیت خرید (حداقل ۲۰ تن) و زمانبر بودن تأییدیه خروج دارد. آسن استیل با حذف واسطهها، پل مستقیمی بین شما و تولیدکنندگان برتر ایجاد کرده است.
برای اینکه بتوانید میلگرد را ارزانتر از قیمتهای روزانه اعلامی در کانالهای تلگرامی تهیه کنید، باید از این استراتژیها استفاده کنید:
بازار آهن ایران معمولاً در اواخر زمستان (به دلیل توقف پروژهها) یا در زمان ثبات نسبی نرخ ارز، با کاهش تقاضا روبرو میشود. در این ایام، فروشندگان برای تأمین نقدینگی، اقدام به فروش میلگرد زیر قیمت بازار میکنند.
عمدهفروشی همیشه حاشیه سود کمتری برای فروشنده دارد. اگر پروژه بزرگی دارید، خرید یکجای میلگرد میتواند تخفیفهای میلیونی در هر کیلوگرم برای شما به ارمغان بیاورد.
لزوماً همیشه نباید به سراغ ذوبآهن اصفهان رفت. برندهایی مانند میلگرد نیشابور، میانه، یا شاهین بناب کیفیت بسیار بالایی دارند اما به دلیل مسافت یا سیاستهای فروش، ممکن است در مقاطعی ارزانتر از سایرین باشند.

شاید از خود بپرسید چطور ممکن است یک مجموعه معتبر مانند آسن استیل، اقدام به فروش میلگرد زیر قیمت بازار کند؟ پاسخ در چند کلمه خلاصه میشود: اعتبار و زنجیره تأمین.
شناخت نوع میلگرد به شما کمک میکند تا بیش از حد نیاز هزینه نکنید. گاهی برای یک بخش غیرسازهای، خرید میلگرد ساده به جای آجدار، هزینهها را کاهش میدهد.
| نوع میلگرد | استاندارد | مقاومت کششی (MPa) | کاربرد اصلی |
| میلگرد ساده | A1 | ۲۴۰ | آهنگری، تغییر شکل و جوشکاری |
| میلگرد آجدار مارپیچ | A2 | ۳۴۰ | خاموتزنی و دیوارهای برشی |
| میلگرد آجدار جناغی | A3 | ۴۰۰ | تیر و ستون (اصلیترین نوع سازهای) |
| میلگرد آجدار مرکب | A4 | ۵۰۰ | پروژههای سنگین و برجسازی |
عبارت فروش میلگرد زیر قیمت بازار گاهی طعمهای برای کلاهبرداری است. برای اینکه در تله نیفتید، به این موارد دقت کنید:
بررسی برندهای محبوب برای خرید زیر قیمت
در بازار ایران، قیمتها بر اساس برند تفاوت چشمگیری دارند. اگر به دنبال خرید میلگرد زیر قیمت بازار هستید، باید قیمت این برندها را روزانه در سایت آسن استیل چک کنید:
۱. میلگرد ذوبآهن اصفهان
با کیفیتترین و البته گرانترین میلگرد ایران. خرید این برند زیر قیمت بازار فقط در زمانهای خاص و از طریق نمایندگان اصلی ممکن است.
۲. میلگرد کویر کاشان
دقت ابعادی بسیار بالا و مناسب برای پروژههای مهندسی دقیق. قیمت آن معمولاً در ردههای بالای جدول است.
۳. میلگرد میانه و ظفر بناب
این دو برند برای پروژههایی که در شمال غرب کشور هستند، به دلیل کاهش هزینه حمل، بهترین گزینه برای خرید اقتصادی محسوب میشوند.
فراموش نکنید که قیمت میلگرد فقط عدد اعلام شده در لیست قیمت نیست. هزینه حمل و نقل میتواند به راحتی قیمت “ارزان” شما را به “گران” تبدیل کند.
آسن استیل با داشتن سیستم لجستیک هوشمند، باربری را از نزدیکترین مبدأ به مقصد شما هماهنگ میکند تا هزینه نهایی به حداقل برسد.
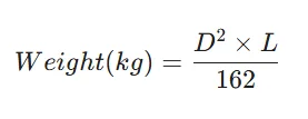
فرمول محاسبه وزن میلگرد (برای کنترل بار)
برای اینکه مطمئن شوید بار خریداری شده استاندارد است، از این فرمول ساده استفاده کنید:

که در آن D قطر میلگرد به میلیمتر و L طول آن به متر است. (مثلاً برای ۱۲ متر میلگرد ۱۶، وزن باید حدود ۱۸.۹ کیلوگرم باشد).
1. آیا میلگرد ارزان به معنای کیفیت پایین است؟
خیر، در آسن استیل قیمت پایین ناشی از حذف واسطهها و خریدهای کلان است، نه کاهش کیفیت.
2. چگونه از قیمت لحظهای میلگرد مطلع شویم؟
شما میتوانید به صورت روزانه جدول قیمتها را در وبسایت آسن استیل مشاهده کرده و یا با شمارههای درج شده تماس بگیرید. (برای مشاهده قیمت میلگرد 12، قیمت میلگرد 14 و قیمت سایر مدلهای میلگرد کلیک کنید.)
3. چطور متوجه شویم میلگرد خریداری شده واقعاً متعلق به همان کارخانه اعلامی است؟ اصلیترین راه، چک کردن علامت اختصاری حک شده روی بدنه میلگرد است. هر کارخانه نماد مخصوص خود را دارد (مثلاً برای فولاد بافق علامت BM و برای فولاد سیرجان علامت SIS حک میشود). همچنین همراه بار باید برگه آنالیز محصول (گواهینامه فنی) که شامل مشخصات شیمیایی و مکانیکی آن پارت است، ارائه شود. تطبیق وزن باسکول با جدول اشتال نیز یک راه اطمینانبخش دیگر است.
4. آیا ساعت خرید در طول روز بر قیمت نهایی تأثیر دارد؟ بله، بازار آهن ایران معمولاً از ساعت ۱۱ صبح به بعد قیمتهای جدید را اعلام میکند. در ساعات اولیه صبح (پیش از اعلام قیمتهای رسمی)، قیمتها معمولاً بر اساس نرخ دیروز است. اگر پیشبینی میشود بازار افزایشی باشد، خرید در ساعات اولیه صبح و اگر بازار کاهشی است، خرید در ساعات پایانی (بعد از ۲ بعدازظهر) که رقابت فروشندگان بیشتر میشود، میتواند به نفع شما باشد.
5. آیا امکان خرید میلگرد با چک یا به صورت اعتباری (LC) زیر قیمت بازار وجود دارد؟ بیشتر معاملات “زیر قیمت بازار” به دلیل حاشیه سود بسیار پایین، به صورت نقدی انجام میشوند. اما مجموعههای معتبری مثل آسن استیل برای پروژههای بزرگ و مشتریان وفادار، شرایط فروش اعتباری یا تهاتری را نیز فراهم میکنند. البته باید توجه داشت که در خرید اعتباری، ممکن است بخشی از تخفیفهای نقدی کسر شود، اما همچنان از نظر مدیریت نقدینگی برای پیمانکاران بهصرفهتر است.
یافتن فرصتهای فروش میلگرد زیر قیمت بازار نیازمند تجربه و شناخت عمیق بازار است. ما در آسن استیل این مسیر را برای شما هموار کردهایم. با ارائه تحلیلهای روزانه، حذف واسطهها و تضمین کیفیت، تلاش میکنیم تا بار مالی پروژههای شما را سبکتر کنیم.
همین حالا برای دریافت مشاوره رایگان و استعلام قیمت روز میلگرد، با کارشناسان ما تماس بگیرید. قیمتهای ما، اعتبار ماست.